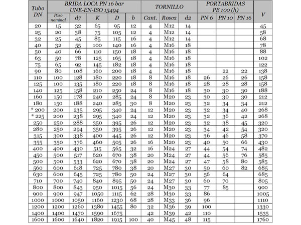
Para conectar con bridas los tubos de PE a otros Tubos, Válvulas, Accesorios, etc., hay que tener en cuenta además de la presión nominal, el diámetro entre agujeros (K) y el nº de agujeros. El Paso nominal es un número teórico, que aproximadamente coincide con el diámetro interior del tubo.
Todos sabemos que el diámetro nominal en tubos de plástico es el diámetro exterior. Esto no reviste más problema que el tenerlo en cuenta al considerar los diferentes diámetros interiores que tendremos según la Presión Nominal (PN) si estamos realizando la unión por bridas en una tubería de PE.

Se recomienda utilizar bridas locas recubiertas de PP con alma de acero, para evitar la oxidación y corrosión.
El problema se presenta cuando unimos tuberías de PE con unión embridada con tubos de otros materiales o de válvulas, accesorios, etc. Lo más habitual es soldar un portabrida de PE para alojar la brida loca correspondiente.
A cada diámetro nominal (DN) del tubo de PE le corresponde una brida, la cual se define por su paso nominal, diámetro entre agujeros (K) y nº de agujeros (ver la primera tabla). Por tanto la otra brida, válvula o accesorio a conectar deberán tener el mismo paso nominal, diámetro entre agujeros (K) y nº de agujeros que la brida loca o sino, se deberán incluir los accesorios de reducción/ampliación necesarios.
Una vez superado lo anterior, viene otro problema y es que la brida evidentemente encajará a la perfección en la válvula o accesorio o a montar, pero el diámetro interior del portabridas será el de la tubería de PE y que no siempre coincide con el diámetro interior de la tubería o de su brida de otros materiales.
Aplicando una unión de bridas Standard 1, habrá una descolocación interna no deseada (ver el dibujo de la izquierda). Una razón por la que esto pasa es el gran espesor de las paredes de tubos de PE y la estandarización de los tubos de plástico de acuerdo con el diámetro exterior y no con el diámetro interior como pasa con otros materiales. Este efecto de descolocación no se suele detectar a la hora de la instalación y genera problemas en el futuro.
Para evitar este problema, los proyectistas podrían usar una válvula más pequeña y conseguir el mismo diámetro interno en PE y en acero o fundición. Pero no se puede instalar en la práctica ya que los tornillos no coinciden. (Ver el dibujo del medio Standard 2).
Con el propósito de ofrecer una solución práctica para éste problema, la compañía REINERT-RITZ desarrolló el conjunto brida + portabrida especial (ver el dibujo de la derecha Special).
Un problema habitual es que cuando instalamos válvulas de mariposa de cuerpo corto o válvulas de retención de clapeta, puede ocurrir que el disco de la válvula no entre en el portabridas al ser de mayor diámetro.
En este caso las soluciones pasan por:
• Utilizar bridas-enchufe auto-blocantes en vez de los portabridas soldados de PE (no se recomiendan las bridas de doble cámara).
• Montar un carrete de desmontaje a ambos lados de la válvula entre la brida de la misma y el portabridas.
• Cambiar el tipo de válvula (por ejemplo válvulas de mariposa de doble excentricidad con cuerpo más largo).
• Rebajar o achaflanar la pared interior del portabridas standard, cosa que no se recomienda porque debilitamos el portabridas.
• Utilizar el conjunto brida + portabrida Special indicado anteriormente (no es posible con conjuntos Standard).
Solución a los problemas de bridas bajo alta presión
La conexión comercial por brida Standard se realiza con brida de acero y portabridas de PE, pero atención, es claramente visible el relativo poco contacto que hay entre la brida y el portabridas (zona coloreada figura izquierda).
Como se puede observar, hay un hueco entre el diámetro interior de la brida y el diámetro exterior del tubo, que es lo que provoca que la superficie de contacto entre la brida y el portabridas sea bastante pequeña. Bajo presión la superficie de estanquidad se distorsiona. En caso de presión muy alta y diámetros más grandes, la unión puede resultar ineficaz y originar fugas. Lo que supone un grave problema, ya que la reparación de una fuga en tubos de PE de gran diámetro resulta muy costosa.
Para que esto no ocurra y poder ofrecer una conexión práctica para presión nominal más alta y gran diámetro, se ha desarrollado la brida de alta presión.
La solución a este problema con la presión interna, es un conjunto que consiste en un portabridas especial de PE y una brida de hierro fundido con revestimiento plástico.
La cara de contacto entre brida y portabrida es mayor por lo que está totalmente preparada para aguantar toda la presión del flujo de manera óptima, ya que el diámetro externo del portabridas tiene el soporte de la brida al estar encajada en la misma, de este modo el área importante está rodeada de una cámara circunferencial evitando así que se pliegue cuando se aplique la presión y por lo tanto que haya fugas.
Este nuevo diseño especial asegura que las conexiones por brida para instalaciones de tubos de plástico sean más seguras y hace posibles nuevas aplicaciones hasta una presión de 25 bar.
Referencias
Conference on Joining Plastics. Cambridge 2008 – M. Ritz. Nordhorn/D.
DVS 2205-4 – Calculation of thermoplastic tanks and apparatuses. Flanged joints.
UNE-EN ISO 15494
Sistemas de canalización en materiales plásticos para aplicaciones industriales. Polibutileno (PB), polietileno (PE) y polipropileno (PP). Especificaciones para componentes y el sistema.
UNE 53394 IN
Plásticos. Código de instalación y manejo de tubos de polietileno (PE) para conducción de agua a presión. Técnicas recomendadas.
La empresa Llaberia Plastics también suministra portabridas y bridas especiales.
>>> Alguna vez me habían dicho que en ciertas instalaciones tenían que reapretar los tornillos de las bridas periódicamente para eliminar fugas. Para evitar este problema ¿crees que se deberían normalizar las bridas y portabridas especiales aquí descritas?.





